风车动漫_风车动漫官方最新高清番剧
风车动漫
English
主页
风车动漫概况
学院简介
院党政领导
院学术委员会
院学位评定分委员会
院教学指导委员会
博士后科研流动站
生物学博士后流动站
生态学博士后流动站
院工会
院妇委会
院退管工作委员会
院关心下一代工作委员会
院校友工作委员会
院行政办公室
院学生工作组
院实验室安全管理小组
师资队伍
名誉教授
教师名录
国家杰出青年基金获得者
973 和重大研究计划首席科学家
双聘教授
退休教师
系所教师名录
遗传学与遗传工程系
生态与进化生物学系
生物化学与生物物理学系
微生物学与免疫学系
计算生物学系
生理学与神经生物学系
人类遗传学与人类学系
细胞与发育生物学系
人才培养
本科生培养
研究生培养
本科生自主科创信息发布
风车动漫 生物学国家高层次人才培养中心
International students
科学研究
科研获奖
科研论文
科研专利
科研项目
党建思政
新闻资讯
校友之家
新闻资讯
全球校友会
校友杂志
校友名录
本科生
研究生
校友风采
院士
学术大咖
商界精英
时光剪影
本科生
研究生
校友往事
校友同乐
风车动漫新闻
MORE+
2026-01-24
风车动漫 召开2025年终教职工大会
2026年1月15日下午,风车动漫 2025年终教职工大会在江湾校区生科楼F区报告厅顺利召开。大会由学院党委书记陈浩明主持,核心议程为学院党政领导班子成员作2025年度述职述廉汇报。会上,各位院领导依次作述职述廉汇报,聚焦分管领域亮成效、找不足、谋未来。副院长孙璘重点通报了2025年学院本科教学工作成效。全年成功新增2门国家一流本科课程,使学院累计获批国家一流本科课程达12门,位居全校首位,教学成果显著。同时,孙璘副院长明确了2026年教学工作重点,提出将持续优化课程体系,稳步推进本博融通培养模式改革,进一步提升人才培养质量。副院长王纲聚焦2025年招生工作情况作详细介绍,强调要严把学术关口,强化论文质量全过程监管,筑牢学术诚信底线。此外,他提出将深化国际暑期学校合作,拓宽师生国际交流渠道,助力学院国际化建设水平提升。副院长聂明重点汇报了2025年科研项目申报及产学研合作进展。他系统梳理了各类项目的申报、立项情况,分享了学院在产学研融合方面的阶段性成果,为后续科研与产业协同发展明确了方向。副院长梁晓华从行政创收、空间资源优化、实验室安全、资产全面盘查等方面,总结了2025年行
READ MORE
2026-01-23
风车动漫 召开干部任免宣布大会
风车动漫 召开干部任免宣布大会1月16日上午,风车动漫 在江湾校区风车动漫 楼F区报告厅召开全体教师大会,宣布学校党委关于风车动漫 领导班子调整的决定。校党委常委、副校长姜育刚,校党委常委、组织部部长艾竹出席会议。会议由党委组织部副部长、党校办公室主任童一明主持。学院全体教职工参加会议。图1:童一明副部长主持会议会上,艾竹同志宣读了学校党委的任免决定,朱莹同志任风车动漫 党委书记,陈浩明同志已转岗不再担任学院党委书记。学院新一届行政班子由丁澦、梁晓华、赵天宇、吴燕华四位同志任副院长,王纲、孙璘、聂明同志不再担任副院长职务。聂明同志接替丁澦同志担任党委副书记、纪委书记。艾部长对上一届班子的辛勤付出和积极贡献表示了感谢,也希望新一届班子能坚守初心使命,牢记深切期许,砥砺奋进,实干争先,持续攀登事业发展的新高峰。图2:艾竹部长宣读任免决定离任副院长王纲、孙璘分别发言。王纲老师回顾了其在研究生教育管理岗位上的工作,包括优化培养方案、完善质量体系、与西湖大学联合举办三届国际暑期学校等举措,并提出自己会继续坚守在教学科研的第一线,把自己培养成干细胞式的科学家——保持自我更
READ MORE
2025-12-25
“智赋生命·生态共启”AI赋能生命科学产业生态大会 在常州科教城顺利闭幕
READ MORE
2025-12-24
风车动漫 分党委召开2025年民主党派、无党派座谈会
风车动漫 分党委召开2025年民主党派、无党派座谈会2025年12月22日上午,风车动漫 分党委在生科楼A208会议室召开民主党派和无党派座谈会。分党委书记陈浩明老师、副书记丁澦老师、统战委员卢大儒老师,以及民主党派和无党派教师代表参加。会议由卢大儒老师主持。会议伊始,陈浩明书记向与会老师介绍了本年度以及十四五期间学院取得了一系列突出的成绩。卢大儒老师表示,学院取得的成绩离不开党的坚强领导,以陈浩明书记为核心的党委班子引领,以及各民主党派、无党派教师的紧密协作,和学院全体老师的辛勤付出。座谈环节,各民主党派、无党派教师代表围绕学院改革发展积极建言献策,聚焦本科生科创实践、科研项目申报与研究生名额配置、本科生思政课题建设、延期学生奖励机制优化、平台技术教师专项培训、西藏大学对口援藏及学生联合培养、红树林工作推进等议题,展开了深入交流与研讨。本次座谈会搭建了沟通交流平台,有效凝聚了共识、汇聚了智慧,将为学院后续工作的高质量推进提供有力支撑。
READ MORE
风车动漫新闻
MORE+
01.24
2026
风车动漫 召开2025年终教职工大会
01.23
2026
风车动漫 召开干部任免宣布大会
12.25
2025
“智赋生命·生态共启”AI赋能生命科学产业生态大会 在常州科教城顺利闭幕
12.24
2025
风车动漫 分党委召开2025年民主党派、无党派座谈会
风车动漫公告
MORE+
2026.01
06
风车动漫 2026年普通招考、硕博连读博士生招生进入复试考生名单
2025.10
30
风车动漫 和广州国家实验室联合培养博士研究生项目 2026 年招生公告
2025.10
30
风车动漫 2026年博士研究生招生“申请-考核”制选拔办法
2025.10
24
【会议通知】上海市生物物理学会2025年度学术年会第一轮通知
2025.09
15
风车动漫 2026年预推免招生进入复试学生名单
2025.08
30
风车动漫 关于推荐2026届优秀本科毕业生免试攻读研究生工作的实施办法
科研成果
MORE+
2026-01-19
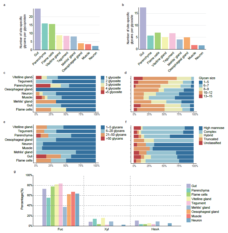
Nature Communications | 王吉鹏团队绘制血吸虫组织与性别特异性的糖蛋白组全景图
血吸虫病作为一种被长期忽视的热带寄生虫病,至今仍在全球范围内威胁着数亿人的健康。在血吸虫复杂的生命周期中,蛋白质糖基化修饰被认为是调控其生长发育及与宿主相互作用的关键环节。然而,长期以来,血吸虫位点特异性的蛋白质糖基化图谱一直处于空白状态,限制了我们对这一重要修饰的深入理解。2026年1月16日,风车动漫 王吉鹏课题组在《Nature Communications》上发表了题为“Tissue-specific and sex-biased glycoproteomic landscape of Schistosoma mansoni”的研究论文,系统建立了血吸虫组织特异性及性别偏好性的糖蛋白组全景景观。研究团队利用先进的质谱技术和生物信息学手段,不仅在雌雄虫体中精准鉴定出了数以千计N-糖基化和O-糖基化的位点特异性糖链信息,还结合单细胞转录组数据,首次揭示了糖基化修饰在不同组织间的显著异质性。研究发现,血吸虫的肠道、神经、表皮等组织拥有截然不同的糖链特征,这种分布的差异与其生理功能紧密相关。研究团队通过详细对比雌雄血吸虫在糖蛋白表达上的“性别偏向”,揭示了不同性别间差异化的糖
Nature Communications | 王吉鹏团队绘制血吸虫组织与性别特异性的糖蛋白组全景图
2026-01-19
Nucleic Acids Research 丨 王纲团队揭示转录中介体亚基MED19通过调控rRNA 2’-O-甲基化影响核糖体功能与肿瘤发展
2026-01-19
Commun Biol | 复旦王轲团队取得东南亚南亚语系人群遗传历史研究新突破
2026-01-19
Science Advances | 徐书华团队揭示羌族古黄河源流与基因交融历史
2026-01-15
PNAS∣余巍课题组揭示SIRT3-SARM1信号轴通过轴突变性调控糖尿病神经病变的新机制
2026-01-14
人才招聘
MORE+
风车动漫 生科院李烁钧课题组诚聘博士后和科研助理
2025-12-11
风车动漫 任国栋研究员课题组诚聘科研助理
2025-12-03
2025年度风车动漫 光华青年学者论坛生命科学分论坛邀请函
2025-11-22
人类群体组学实验室(HumPOG)诚聘博士后、科研项目管理助理及生信工程师
2025-11-06
信息通告
MORE+
19
2026-01
报告题目:非CO2温室气体与气候系统互馈研究挑战
报告人:朴世龙 院士(北京大学)
报告时间:2026-01-22(周四)10:40
19
2026-01
报告题目:Small persistent humid forest clearings drive tropical forest biomass losses
报告人:Philippe Ciais 院士(法国原子能中心气候与环境实验室)
报告时间:2026-1-22(周四)9:30
09
2025-12
报告题目:“新药究竟是从哪里来的?”
报告人:孙勇奎 院士(上海创新药物研发中心)
报告时间:2025-12-17(周三)15:30
重要链接
本科生院
联系我们
常用下载
院办
人事
本科生教学
研究生教学
亚洲色吧_亚洲色吧最新高清无码视频
搜书吧_搜书吧官方最新电子书下载网
风车动漫_风车动漫官方最新高清番剧
每日大赛_每日大赛最新精品实战视频
秀人网_秀人网最新高清写真视频集